Автоклавний газобетон (АГБ) стає дедалі помітнішим у сучасному будівництві завдяки своїм високим показникам екологічності (сталості), низькій вазі матеріалу та відмінним теплотехнічним характеристикам. Хоча АГБ широко використовується у фасадних конструкціях та огороджувальних системах будівель, нормативна база для його конструктивного проєктування розвинена набагато менше, ніж для залізобетону. Наявна література надає лише обмежені вказівки щодо анкерування компонентів з АГБ, оскільки АГБ за своєю природою поводиться інакше, ніж традиційні матеріали, такі як залізобетон. Крім того, компоненти з АГБ є практичною альтернативою звичайним залізобетонним вузлам, дозволяючи скоротити терміни будівництва та зменшити витрати ручної праці на майданчику. Це дослідження представляє систематичний підхід до оцінки несучої здатності анкерування елементів з АГБ, що використовуються в конструкціях парапетів. Дана робота має на меті послужити як довідковим матеріалом для інженерів-практиків, так і основою для подальших досліджень щодо безпечного та ефективного застосування АГБ у будівництві парапетів.
Парапетні панелі з автоклавного газобетону (АГБ) представляють собою сучасне та ефективне рішення для багатоповерхових житлових або промислових об’єктів. Ці великоформатні армовані стінові елементи спеціально розроблені для задоволення вимог сучасної будівельної практики, забезпечуючи як конструкційну надійність, так і ефективність будівництва. Висока точність розмірів та оптимізований формат дозволяють встановлювати парапетні панелі з АГБ швидко та економічно. Це не тільки зменшує витрати ручної праці на майданчику та час використання риштувань, але й мінімізує витрати на зберігання та логістику. Завдяки швидкості монтажу до 100 погонних метрів на день ці елементи значно прискорюють робочі процеси в будівництві [1].
Парапетні панелі з АГБ є сталою альтернативою традиційним залізобетонним рішенням, зокрема для плоских покрівель та подовжених зон парапетів. Оптимізація теплових містків дає чітку перевагу над звичайними матеріалами, такими як залізобетон, а показник вогнестійкості EI 90 забезпечує безпеку відповідно до стандартів протипожежного захисту [1].
Для влаштування парапету великоформатні армовані елементи з АГБ встановлюються на покрівлю на шар розчину. На кінцях парапетних елементів передбачені виїмки для розміщення сполучної арматури, що виходить із плити; згодом арматура монолітиться шляхом заповнення виїмок бетонним розчином для створення структурного зв'язку.
Критичним аспектом практики застосування фасадів з АГБ є анкерування під дією динамічних навантажень. Належне анкерування є необхідним для забезпечення конструкційної стійкості системи, особливо під дією вітрового навантаження. Елементи розраховані на протидію типовим вітровим діям у різних зонах вітрового навантаження, забезпечуючи достатню несучу здатність як під дією тиску, так і під дією сил відсмоктування. Це дослідження зосереджене на структурному аналізі та проєктуванні анкерування парапетних елементів з АГБ у будівництві.
Вітрове навантаження та зусилля на контактній поверхні
Зони вітрового навантаження в Німеччині поділені на чотири зони, як показано на Рис. 1. Карта Німеччини та основні значення базової швидкості вітру vb,0 повинні визначатися відповідно до вітрової зони, зазначеної в Таблиці 1.
У цій роботі було застосовано вітрове навантаження для Зони 2, щоб охопити вимоги інших зон. Крім того, ми пропонуємо використовувати коефіцієнт динамічного впливу для всіх проєктів висотою до 30 метрів, щоб досягти стандартизованого конструктивного рішення, застосовного для всіх зон.
Як видно з Рис. 1, вітрові зони 1 та 2 охоплюють приблизно 80% території країни. Решта території складається переважно із зони 3 (близько 15%) та зони 4 (близько 5%), які розташовані переважно на півночі та вздовж узбережжя.

Рис. 1: Карта вітрових зон Німеччини [2]

Рис. 2: Ефект вітрового «хлиста» на парапеті будівлі
Таблиця 1: Швидкість вітру та швидкісний тиск у різних зонах [2]
| Вітрова зона | Базова швидкість вітру vb,0 [м/с] | Базовий швидкісний тиск qb [кН/м²] |
| Зона 1 | 22,5 | 0,32 |
| Зона 2 | 25,0 | 0,39 |
| Зона 3 | 27,5 | 0,47 |
| Зона 4 | 30,0 | 0,56 |
Ефект вітрового «хлиста» та його конструктивні наслідки
Ефект вітрового «хлиста» стосується динамічної реакції конструкцій на раптові зміни швидкості або напрямку вітру. Це явище може призвести до резонансних коливань, особливо у високих і гнучких будівлях або мостах, де осциляції, спричинені силами вітру, стають значними. На Рис. 2 проілюстровано дію ефекту вітрового «хлиста» на парапет будівлі.
У метеорологічному та фізичному контекстах ефект «хлиста» описує те, як пориви або сильний вітер можуть спричинити різкі, а іноді й сильні рухи. Наприклад, коли потік вітру проходить над рівнинною місцевістю і натрапляє на перешкоду, таку як будівля або пагорб, він може відхилятися або прискорюватися, що призводить до раптового піку інтенсивності вітру. Це може створити хвилеподібний рух або коливання сили вітру. Подібним чином транспортні засоби, що рухаються на високій швидкості, можуть зазнавати нерівномірного обтікання повітрям, що створює відчуття «хлиста».
Для врахування цих динамічних ефектів при проєктуванні конструкцій застосовується поправковий коефіцієнт, що ґрунтується на висоті та формі споруди. Залежно від вітрової зони та висоти будівлі коефіцієнти надійності зазвичай становлять від 1,0 до 2,0. Для попередніх розрахунків спрощений підхід передбачає використання множника від 1,5 до 2,0, який коригує розрахункове вітрове навантаження, щоб відобразити додаткові зусилля, спричинені коливаннями. Це врахування є критично важливим для забезпечення безпеки та експлуатаційної придатності конструкцій, особливо в регіонах з високою вітровою активністю або для об’єктів, що піддаються складним аеродинамічним впливам.
Ефект тертя в шарі розчину парапетів з АГБ
Коли парапетний елемент встановлюється на покрівлю на шар розчину, на контактній поверхні між елементом парапету та розчином виникає сила тертя. Ця сила тертя, FR, діє паралельно поверхні контакту та протидіє будь-якому відносному зміщенню елемента. Нормальна сила, FN, що діє перпендикулярно до контактної поверхні, створюється власною вагою парапетного елемента. Отриманий опір тертю можна розрахувати як:

де µ — коефіцієнт тертя, що відображає характеристики шорсткості та адгезії контактних поверхонь. Комбінований ефект нормальної сили та сили тертя може бути виражений через рівнодійну силу FE, орієнтовану під кутом тертя α. Цей кут визначається як:

Опір тертя відіграє істотну роль у стабілізації елементів стіни, обмежуючи їхнє зміщення та забезпечуючи надійне анкерування компонентів до конструкції покрівлі. Типові коефіцієнти тертя для АГБ є наступними:
-
АГБ по АГБ: µ 0,5 – 0,6
-
АГБ по розчину: µ 0,4 – 0,6
-
АГБ по бетону: µ 0,5 – 0,7
Для цілей цього дослідження прийнято коефіцієнт тертя µ = 0,6.
Розрахунок та результати
Припущення
Панелі АГБ мають розміри: довжина (L1, L2), висота 0,75 м (h) та товщина 0,3 м (d); клас міцності на стиск 4,5 Н/мм², а розрахункова густина γ = 6,7 кН/м³. Схематичне зображення панелей та їхнього поперечного перерізу наведено на Рис. 3, а конструктивна система, що розглядається для об'єкта, проілюстрована на Рис. 4.

Рис. 3: Вигляд парапету спереду та перерізи А-А і Б-Б

Рис. 4: Конструктивна схема парапету, що розглядається
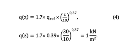
Загалом вітрові зони 1 та 2 охоплюють більшу частину всієї території Німеччини. Для цілей цього дослідження вітрова дія оцінюється на основі припущень для вітрової зони 2 та еталонної висоти H = 30 м. Вітровий тиск на висоті z розраховується за формулою (4):

Для врахування ефекту «хлиста» до вітрового навантаження застосовується коефіцієнт 1,5, а розрахунок армування анкерування виконується наступним чином:

Елементи опору
Компоненти, що забезпечують механіку контактної взаємодії, необхідну для протидії вітровим навантаженням, включають: парапетний елемент з АГБ (за рахунок власної ваги), бетонне заповнення паза класом C20/25 та арматурний стержень, розташований між елементами парапету всередині паза, який заанкерований у залізобетонну плиту перекриття. На Рис. 5 показано схему системи та розміри компонентів, що сприймають вітрове навантаження.

Рис. 5: Деталі та розміри елементів опору
Згідно з тим, що показано на Рис. 5, осьова сила, позначена як Nz(кН/м), діє у вертикальному напрямку z уздовж елемента з АГБ.

де γ (кН/м³) — розрахункова густина панелі з АГБ, а l (м) та d (м) — відповідно довжина та товщина панелі. Сума всіх сил тертя становить Rz (кН/м), яка розраховується за формулою (7). W* у рівнянні (8) позначає вітрове навантаження, зменшене з урахуванням ефектів тертя, і використовується в подальших розрахунках.

Необхідний розмір арматурного стержня розраховується наступним чином:

У цьому дослідженні розрахункове припущення базувалося на Вітровій зоні 2. Однак той самий підхід до розрахунку також може бути застосований і скоригований для Вітрових зон 3 і 4 за умови, що буде проведена конструктивна перевірка, а остаточне рішення буде прийнято відповідальним проєктувальником.
Конструктивні рекомендації
Спочатку елементи парапету укладаються на готову залізобетонну плиту за допомогою шару розчину. Після цього арматурні стержні Ø16, що виходять із плити покриття, розміщуються у пазах елементів парапету. Як тільки всі елементи встановлені та належним чином вирівняні, пази заповнюються бетоном C20/25 для завершення та фіксації системи. На Рис. 6 та Рис. 7 показано деталі виконання парапетів, де арматурний стержень Ø16 розміщений між елементами АГБ, а паз заповнений бетоном C20/25.

Рис. 6: Рекомендована деталь з’єднання парапетних елементів

Рис. 7: Конструктивна схема, що розглядається, та вузол з’єднання парапетного елемента із залізобетонною плитою
Література
[1] Xella Deutschland GmbH: Просте рішення для верхнього завершення будівлі: парапетні елементи Ytong (Ytong Attikaelemente), www.xella.de/de_DE/ytong/produkte/attikaelement, станом на 06/2025.
[2] DIN EN 1991-1-4/NA:2010-12: Національний додаток — Національно визначені параметри — Єврокод 1: Дії на конструкції — Частина 1-4: Загальні дії — Вітрові дії; Beuth-Verlag: Берлін, 2010.
Джерело: AAC WORLDWIDE • 2.2026, P62-65
Офіційна Facebook сторінка ВААГ
